商标,是自然人、法人或者其他组织将其商品或服务与他人的商品或服务区别开来的标志,包括文字、图形、字母、数字、三维标志、颜色组合和声音等,以及上述要素的组合。经商标局核准注册的商标为注册商标,具有商标专用权,受法律保护。未注册授权的商标不具有专用权。
一.法律依据:——《中华人民共和国商标法》
第三条 经商标局核准注册的商标为注册商标,包括商品商标、服务商标和集体商标、证明商标;商标注册人享有商标专用权,受法律保护。
第四条 自然人、法人或者其他组织在生产经营活动中,对其商品或者服务需要取得商标专用权的,应当向商标局申请商标注册。不以使用为目的的恶意商标注册申请,应当予以驳回。
第八条 任何能够将自然人、法人或者其他组织的商品与他人的商品区别开的标志,包括文字、图形、字母、数字、三维标志、颜色组合和声音等,以及上述要素的组合,均可以作为商标申请注册。
第九条 申请注册的商标,应当有显著特征,便于识别,并不得与他人在先取得的合法权利相冲突。
第三十九条 注册商标的有效期为十年,自核准注册之日起计算。 第四十条 注册商标有效期满,需要继续使用的,商标注册人应当在期满前十二个月内按照规定办理续展手续;在此期间未能办理的,可以给予六个月的宽展期。每次续展注册的有效期为十年,自该商标上一届有效期满次日起计算。期满未办理续展手续的,注销其注册商标。
第四十二条 转让注册商标的,商标注册人对其在同一种商品上注册的近似的商标,或者在类似商品上注册的相同或者近似的商标,应当一并转让。
第四十九条 注册商标成为其核定使用的商品的通用名称或者没有正当理由连续三年不使用的,任何单位或者个人可以向商标局申请撤销该注册商标。商标局应当自收到申请之日起九个月内做出决定。有特殊情况需要延长的,经国务院工商行政管理部门批准,可以延长三个月。
二.哪些标记不得作为商标使用或注册商标?
法律依据:《中华人民共和国商标法》
第十条 下列标志不得作为商标使用:
(一)同中华人民共和国的国家名称、国旗、国徽、国歌、军旗、军徽、军歌、勋章等相同或者近似的,以及同中央国家机关的名称、标志、所在地特定地点的名称或者标志性建筑物的名称、图形相同的;
(二)同外国的国家名称、国旗、国徽、军旗等相同或者近似的,但经该国政府同意的除外;
(三)同政府间国际组织的名称、旗帜、徽记等相同或者近似的,但经该组织同意或者不易误导公众的除外;
(四)与表明实施控制、予以保证的官方标志、检验印记相同或者近似的,但经授权的除外;
(五)同“红十字”、“红新月”的名称、标志相同或者近似的;
(六)带有民族歧视性的;
(七)带有欺骗性,容易使公众对商品的质量等特点或者产地产生误认的;
(八)有害于社会主义道德风尚或者有其他不良影响的。
县级以上行政区划的地名或者公众知晓的外国地名,不得作为商标。但是,地名具有其他含义或者作为集体商标、证明商标组成部分的除外;已经注册的使用地名的商标继续有效。
第十一条 下列标志不得作为商标注册:
(一)仅有本商品的通用名称、图形、型号的;
(二)仅直接表示商品的质量、主要原料、功能、用途、重量、数量及其他特点的;
(三)其他缺乏显著特征的。
前款所列标志经过使用取得显著特征,并便于识别的,可以作为商标注册。
第十二条 以三维标志申请注册商标的,仅由商品自身的性质产生的形状、为获得技术效果而需有的商品形状或者使商品具有实质性价值的形状,不得注册。
第十三条 为相关公众所熟知的商标,持有人认为其权利受到侵害时,可以依照本法规定请求驰名商标保护。
就相同或者类似商品申请注册的商标是复制、摹仿或者翻译他人未在中国注册的驰名商标,容易导致混淆的,不予注册并禁止使用。
就不相同或者不相类似商品申请注册的商标是复制、摹仿或者翻译他人已经在中国注册的驰名商标,误导公众,致使该驰名商标注册人的利益可能受到损害的,不予注册并禁止使用。
三.中国商标注册所需资料:
1、国内法人或者其他组织直接办理商标注册申请时应当提交以下文件:按照规定填写打印的《商标注册申请书》并加盖申请人公章、商标图样、身份证明文件复印件、商标注册代理委托书。
2、国内自然人直接办理商标注册申请时应当提交以下文件:按照规定填写打印的《商标注册申请书》、商标图样、个体工商户营业执照复印件、身份证复印件、商标注册代理委托书。
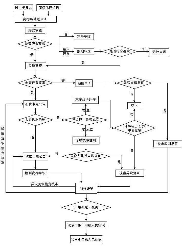
四.中国商标注册申请流程:
